Vitamin B12
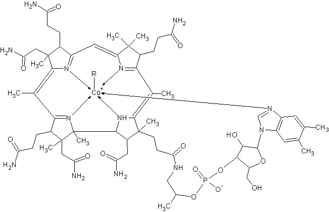
Figure 1. R-cobalamin
R = -CN/-OH/-H2O/-NO2/-5'-deoxyadenosyl/-CH3
Cyanocobalamin: C63H88CoN14O14P, Mw = 1355,38 g/mol
Vitamin B12 consists of a group of compounds that have similar vitamin activity than cyanocobalamin, e.g. cyanocobalamin, hydroxocobalamin, aquocobalamin and nitritocobalamin. Methylcobalamin and 5'-deoxyadenosylcobalamin are the coenzyme forms of vitamin B12.
Synonyms for vitamin B12:
- cobalamin, cyanocobalamin, antipernicious anemia factor
Contents
- 1 Standard
- 2 Method indicator
- 3 Scope
- 4 Principle
- 5 Key steps
- 6 Remarks
- 7 Criteria for analytical performance and analytical quality control
- 8 Certified Reference Materials/Standard Reference Material
- 9 Proficiency testing schemes
- 10 Other methods available
- 11 Literature
- 12 EuroFIR assistance to this method/guidelines
Standard
- No EN standard available.
- AOAC 952.20 Cobalamin (Vitamin B12 Activity) in Vitamin Preparations
- microbiological assay according to AOAC 960.46
Method indicator
- Name
- Code
Scope
AOAC 952.20 specifies a method for the determination of cobalamin (vitamin B12 activity) from vitamin preparations, but AOAC has recommended the method for all food matrices. Cobalamin is determined by microbiological assay using Lactobacillus delbrueckii (leichmannii) ATCC 7830. The microbiological assay is performed according to the official method AOAC 960.46.
Principle
Vitamin B12 is extracted and determined by microbiological assay using either titrimetric or turbidimetric method.
Key steps
Extraction
- Phosphate buffer containing reducing agent (e.g. metabisulfite or ascorbic acid) is added to the sample to extract the vitamin B12 active compounds.
- The sample is homogenised in the extraction solution.
- The extraction includes heat treatment
- autoclaving at 121 °C, 10 min
- pH is adjusted to 4,5.
- The sample solution is diluted with water and filtered.
Microbiological assay
Preparation of test tubes
- Microbiological assay is performed using test tubes.
- All of the blanks, standard solutions and samples are prepared at least in duplicates.
- Both an uninoculated and inoculated blank are prepared.
- Test tubes having four different dilution levels of sample solutions are prepared.
- Water and basal medium stock solution are added to test tubes.
- The total volume of the solution in every test tube is 10 ml.
- Test tubes are sterilised prior to inoculation of test tubes.
- The uninoculated blanks are the only test tubes that are not inoculated.
Determination by titrimetric method
- Tubes are incubated at 30-40 °C for 72 h.
- Contents of test tubes are titrated using bromothymol blue indicator.
- Titration may also be done using potentiometric measurement.
- Titration may also be done using potentiometric measurement.
Determination by turbidimetric method
- Tubes are incubated at 30-40 °C for 16-24 h.
- Photometer is calibrated with standard stock solutions.
- Calibration curve is formed by plotting the transmittance (%) for every dilution level against the corresponding content (mg dry weight).
- The test tube solutions are transferred to optical cells and transmittance is measured photometrically.
- Spectrometer is set to 540-660 nm and adjusted to 100 % transmission for uninoculated blanks.
- After achieving a steady state, absorbance of test tubes are read.
Calculation
- The vitamin B12 content/ml of the test solution is calculated for each dilution level.
- Average of values is calculated taking into account such samples that do not vary by more than 10 % from the average.
Remarks
- The samples must be protected from excessive exposure to light.
- To maintain adequate activity of the test organism, regular transfers should be done.
- The test organism is sensitive to many cleansing agents.
- Suitable detergents should be used to cleanse laboratory glassware.
- Turbidimetric method cannot be used if samples contain high amount of color.
Criteria for analytical performance and analytical quality control
- Greenfield and Southgate discuss the criteria for analytical performance and quality of analytical data in their book.
Certified Reference Materials/Standard Reference Material
Proficiency testing schemes
Here are listed some completed, on-going and/or upcoming proficiency testing schemes concerning vitamin B12:
Livsmedelsverket, National Food Agency of Sweden - Report 22 (2008) Vitamins in Foods - Round V-6
Some upcoming proficiency testing schemes can be found in the EPTIS database.
Other methods available
- AACC 86-40.01 Vitamin B12---Microbiological Method
- AOAC 986.23 Cobalamin (Vitamin B12 activity) in Milk-Based Infant Formula
- turbidimetric
Literature
- see separate child page below